38 trig equations worksheet with answers

Solving Trigonometric Equations Worksheet With Answers Pdf General Solutions Of Trigonometric Equations Worksheets Rewrite the equations provided in these pdf exercises in the form of sin θ = 0, cos θ = 0 or tan θ = 0. Obtain the general solution of the equation by using the ... SOLVING TRIG EQUATIONS BY FACTORING - Humble ISD PDF Trig Worksheet Answers - Conejo Valley Unified School District For each of the following find the equation of the center line axis, the period, the amplitude and the phase shift. Draw each function showing at least one cycle. Label the high, low and center line points of one cycle. Check your answers on the graphing calculator. REMEMBER: The θ−axis is the same as the x axis− . 14. 1 3sin 2 y θ ...

PDF Worksheet 4: Trigonometric Equations - University of Connecticut Worksheet 4: Trigonometric Equations Be sure to show all work that leads to your answers. No late papers will be accepted. 1.Find all solutions to the equation 2sinx+1 = 0 in the interval [0;2ˇ]. 2.Find all solutions to the equation 3cosx= 3 in the interval [0;2ˇ]. 3.Find all solutions to the equation 3sinx 4 = sinx 2 in the interval [0;2ˇ].

Trig equations worksheet with answers

Trig equations worksheet with answers

Solving Trigonometric Equations Worksheets - Math Worksheets 4 Kids Solving Trigonometric Equations Worksheets Boost learning parameters with these printable solving trigonometric equation worksheets featuring myriad exercises to solve trig equations in linear and quadratic forms by factoring or by using quadratic formulas. Learn to determine the principal solution of the given trigonometric equations as well. Trig+Equations+Worksheet+with+ANSWERS.docx - Course Hero Trig Equations Review Worksheet 1. Solve for x algebraically.Show all work. a) sinx=0.67, 0≤ x<2 b) 4 sinx+5= 0, 0≤ x<2 c) 4 secx+8= 0, 0≤ x<2 d) cotx−√3=0, 0≤ x<2π π π π PDF Algebra2/Trig Chapter 12/13 Packet - White Plains Public Schools One way to simplify a complicated trigonometric expression is to rewrite all trig functions in terms of only sines and cosines. Simplify each of the following trig expressions by converting them to sines, cosines, or both, and using your knowledge of fractions, simplify. Warm - Up: sec cot = 5 The Pythagorean Identities

Trig equations worksheet with answers. Trigonometric Equations Worksheets - Math Worksheets Center Independent Practice 1 A really great activity for allowing students to understand the concepts of the solving Trigonometric Equations. Take your best swing at these trigonometric equations. (One method of solution will be shown.) View worksheet Independent Practice 2 Students find the value of Trigonometric Equations in assorted problems. Solving Trig Equations Worksheet Answers.doc - SOLVING TRIG... SOLVING TRIG EQUATIONS WORKSHEET θ = 60 o, 300 o θ = 0 0, 60 o, 300 8) In your own words and in complete sentences, explain why many trigonometric equations have infinitely many solutions. Many trigonometric equations have infinitely many solutions because of how the function is periodically. End of preview. Want to read all 2 pages? Trig Equations - National 5 Maths An SQA N5 Maths exam question on Trig Equations is shown below: Solve the equation 11cosx° - 2 = 3 for 0 ≤ x ≤ 360°. Source: N5 Maths, 2014, P2, Q12. Solving equations such as sin x° = 1, sin x° = - 1 and cos x° = 0 can be achieved just be reading the solutions from the trig graphs. For example, in the graph of y = sin x° below ... trig equations worksheet 6 Best Images Of Absolute Value Equations Worksheet Answer Key - 7th Grade Math Problems . sheet formula trig identity absolute value data personal worksheet equations answer key worksheeto via worksheets answers. Solve Trig Equations Worksheet With Answers - Worksheet novenalunasolitaria.blogspot.com. trig trigonometric

PDF SOLVING TRIGONOMETRIC EQUATIONS - Central Bucks School District Pre-Calculus/Trig 3 Name: _____ UNIT 7: Trigonometric Identities & Equations - SECTION 5 WORKSHEET #1 Date: _____ SOLVING TRIGONOMETRIC EQUATIONS Directions: Solve each trigonometric function for ALL POSSIBLE VALUES IN DEGREES. Use the hints provided. HINT COLLECT LIKE TERMS ... Round all answers to the nearest tenth. 25.) tan22. Author: PDF Solving Trigonometric Equations - Rochester Institute of Technology (This is explained in more detail in the handout on inverse trigonometric functions.) Use the INV ndkey (or 2 function key) and the SIN key with 2 1 to get an answer of 30q. Example 3: Solve for x : 3 sin x 2sin x cos x 0, 0d x 2S. Solution : Factor the expression on the left and set each factor to zero. sin x 3 2sin x cos x 0 sin x PDF Chapter 5 Trig Equations Worksheet Answers 5.3 Solving Trig Equations Practice Worksheet #1 Name: Pre-calculus Date: Solve for the unknown variable on the interval 0 x < 2m . COE 1- o sin x — Block: 6. 8. 4. cos x=cosx COs x sin x — 2sin x cosx = 2sin2 x— cos2 x = 0 o 7. csc2 x— cscx — sin x 11. sin — Solve for the unknown variable on the given interval. 10. cos(nx) = 0.5 on ... Trig Equations Worksheet 5 1 Answer Key - Tessshebaylo Trig equations worksheet 5 1 name solve for 0 x trigonometric identities chapter solutions n12treqs simple pdf abbynet awesome solving she loves math trigonometry help equation solver ratio answer key the ratios sine cosine and lesson 3 how to find in an interval a with angle multiplied by constant study com contains more than one function 11 6.

PDF Practice Worksheet: Writing Trig Equations - WPMU DEV Practice Worksheet: Writing Trig Equations 1. Write a sine equation for the periodic function. 2. Write a tangent equation for the periodic function. 3. Write a cosecant equation for the periodic function. General Solutions of Trigonometric Equations Worksheets Solving Trig Equations - Type 4. Solve each trigonometric equation by simplifying it to the form of a cos θ + b sin θ = c. Use the relevant formula to find the general solution of the equation. Validate your response with the answer key provided in each pdf worksheet. PDF Trig Equations w/ Factoring + Fundamental Identities - Kuta Software Trig Equations w/ Factoring + Fundamental Identities Name_____ Date_____ Period____ Solve each equation for ... Create your own worksheets like this one with Infinite Precalculus. Free trial available at KutaSoftware.com. Title: document1 Author: Mike Created Date: PDF Solving Trig Equations HW - Honors PreCalculus and Trig Worksheet on Solving Trig Equations Solve each equation for 0° ≤ x < 360°. 1. 2. 3. 4. 5. 2 6. 2 Solve each equation for 0 ≤ x < 2π. 7. 8. 9. 10. 11. 12. Answer Key: 1. 7. 11. 2. 8. 12. 3. 9. 4. 10. 5. 6. 3tanx+23=83−3tanx3cosx-63=cosx-53 2cosx−1=secx1+cosx= 3+4cosx

trig ws ans keys.pdf - 5.3 Solving Trig Equations Worksheet ...

trig ws ans keys.pdf - 5.3 Solving Trig Equations Worksheet ...

Practice On Trig Ratios Worksheet Answers .pdf - rr.spectrio trigonometry practice problems, worksheets and exam questions at. Trig Ratios Right TrianglesRight triangle: A triangle with an interior... Notes: TRIGONOMETRIC RATIOS. c2, then it is an obtuse triangle 21, 12, 24 \ 1 Mar 14, 2020 - Right Triangle Trigonometry Worksheet Answers - 50 Right Triangle Trigonometry Worksheet Answers , Finding A ...

Trigonometry Worksheets with Answers | Maths worksheets

Trigonometry Worksheets with Answers | Maths worksheets

PDF TRIGONOMETRIC EQUATIONS - hufsd.edu A trigonometric equation is an equation whose variable is expressed in terms of a trigonometric function value. To solve a trigonometric equation, we use the ... 240 1 360n} Answer Trigonometric Equations and the Graphing Calculator Just as we used the graphing calculator to approximate the irrational solutions of quadratic-linear systems in ...

04 - Trig Equations W Factoring + Fundamental Identities ...

04 - Trig Equations W Factoring + Fundamental Identities ...

PDF Trig Equations Worksheet - Southern Oregon University Trig Equations Worksheet Find all solutions to the following equations that fall in 1) 2) 3) 2 4) 2 [0,2π) 2sinxcosx−2sinx=0 tanx−2sinx=0 6sinx−7sinx+5=0 −sinx+cosx=− 5 4 5) 23 Hint: Factor by grouping 6) 7) 8) 6 4 8sinx+4sinx−6sinx=3 cos(2x)+sinx=0 cos(2arcsinx)=13−11x tanx−9tanx=0

Math Exercises & Math Problems: Trigonometric Equations and ...

Math Exercises & Math Problems: Trigonometric Equations and ...

Trigonometry Worksheets with Answers | Maths worksheets At Cazoom Maths we provide a trigonometry worksheet for every question your student might encounter, from a sine and cosine rule worksheet with answers, special triangles worksheet and 3d trigonometry worksheet questions and answers. Your student will have no fear of angles and triangles with the help of our Cazoom Maths Trigonometry worksheets.

Quiz & Worksheet - Solving Trigonometric Equations | Study.com

Quiz & Worksheet - Solving Trigonometric Equations | Study.com

trig equations worksheet with answers Trig Equations Worksheet 5.1 Answers - Math Is Fun learn-math1.blogspot.com. equations trig substitut. 15 Best Images Of Kuta Algebra I Worksheets - Pre-Algebra Worksheets . equations step worksheet algebra worksheets kuta answers pre software infinite worksheeto via.

Methods of solving trigonometric equations and inequalities

Methods of solving trigonometric equations and inequalities

Chapter 5: Trig. Identities and Equations - Mr. Plassmann's Virtual ... Chapter 5 Review Worksheet and Answer Key ... HPC - Chapter 5, Section 3, Part I Worksheet - Solving Trig Equations.pdf View Download: Chapter 5, Section 3, Part I Worksheet ...

Solved 5.3 Solving Trig Equations Practice worksheet #1 ...

Solved 5.3 Solving Trig Equations Practice worksheet #1 ...

Writing Trig Equations From Graphs Worksheet Answers 7 2 Graphs Of The Sine And Cosine Functions Mathematics Libretexts. Sine and cosine equations from graphs graphing trig on the verge of practice worksheet writing igcse 0580 solving sue eaton eaton0699 profile pythagoras trigonometry equation a or graph modeling with trigonometric phase shifts functions for you.

General Solutions of Trigonometric Equations Worksheets

General Solutions of Trigonometric Equations Worksheets

Download Free Trigonometry Worksheet PDFs - Cuemath Trigonometry worksheets promote an understanding of trigonometry concepts. Students can use these worksheets to improve their skills in solving trigonometric problems. The questions included in the worksheet are based on solving trigonometric identities, deriving trigonometry formulas, understanding trigonometry elements such sines, cosines, etc.

Trig Equations worksheet 5.1 Name: Solve for 0≤x

Trig Equations worksheet 5.1 Name: Solve for 0≤x

Trigonometry Worksheets (pdf) with answer keys. Download print and enjoy! Plus each one comes with an answer key. Law of Sines and Cosines Worksheet (This sheet is a summative worksheet that focuses on deciding when to use the law of sines or cosines as well as on using both formulas to solve for a single triangle's side or angle) Law of Sines Ambiguous Case of the Law of Sines Law Of Cosines

Trig Prove each identity; 1 . 1 . secx - tanx SInX - - - secx ...

Trig Prove each identity; 1 . 1 . secx - tanx SInX - - - secx ...

Trigonometric Equations Worksheet - Equations Worksheets Trigonometric Equations Worksheet - The goal of Expressions and Equations Worksheets is to assist your child in learning more effectively and efficiently.These worksheets are interactive and questions based on the order of how operations are conducted. These worksheets make it simple for children to grasp complicated concepts and simple concepts quickly.

Assignments - Mrs. Jackson's Adv. Pre-Calculus Website

Assignments - Mrs. Jackson's Adv. Pre-Calculus Website

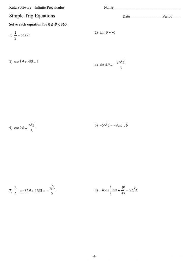
PDF Simple Trig Equations Date Period - Kuta Software Simple Trig Equations Name_____ Date_____ Period____-1-Solve each equation for . 1) ... Create your own worksheets like this one with Infinite Precalculus. Free trial available at KutaSoftware.com. Title: document1 Author: Mike Created Date:

N12TrEQS - Simple Trig Equations.pdf - AbbyNet

N12TrEQS - Simple Trig Equations.pdf - AbbyNet

PDF Algebra2/Trig Chapter 12/13 Packet - White Plains Public Schools One way to simplify a complicated trigonometric expression is to rewrite all trig functions in terms of only sines and cosines. Simplify each of the following trig expressions by converting them to sines, cosines, or both, and using your knowledge of fractions, simplify. Warm - Up: sec cot = 5 The Pythagorean Identities

Factoring Trigonometric Equations (examples, solutions ...

Factoring Trigonometric Equations (examples, solutions ...

Trig+Equations+Worksheet+with+ANSWERS.docx - Course Hero Trig Equations Review Worksheet 1. Solve for x algebraically.Show all work. a) sinx=0.67, 0≤ x<2 b) 4 sinx+5= 0, 0≤ x<2 c) 4 secx+8= 0, 0≤ x<2 d) cotx−√3=0, 0≤ x<2π π π π

Pre-Calculus Honors - Mrs. Higgins

Pre-Calculus Honors - Mrs. Higgins

Solving Trigonometric Equations Worksheets - Math Worksheets 4 Kids Solving Trigonometric Equations Worksheets Boost learning parameters with these printable solving trigonometric equation worksheets featuring myriad exercises to solve trig equations in linear and quadratic forms by factoring or by using quadratic formulas. Learn to determine the principal solution of the given trigonometric equations as well.

[IB Math SL] 6-4d: Solving Trig Equations with Identities

[IB Math SL] 6-4d: Solving Trig Equations with Identities

Solving Trigonometric Equations Worksheets

Solving Trigonometric Equations Worksheets

Solving Trigonometric Equations Practice worksheets

Solving Trigonometric Equations Practice worksheets

Solving Trig Equations - Riddle Worksheet

Solving Trig Equations - Riddle Worksheet

6.4 Trigonometric equations | Trigonometry | Siyavula

6.4 Trigonometric equations | Trigonometry | Siyavula

Solve Trig Equations Worksheet 12.15 Pp4yf1 | PDF ...

Solve Trig Equations Worksheet 12.15 Pp4yf1 | PDF ...

Trig Equations (in radians) | Teaching Resources

Trig Equations (in radians) | Teaching Resources

Factoring Trigonometric Equations (examples, solutions ...

Factoring Trigonometric Equations (examples, solutions ...

Solved Worksheet-Trig Equations in Degrees Find the value of ...

Solved Worksheet-Trig Equations in Degrees Find the value of ...

Precalculus 441 Solving Trigonometric Equations Worksheets ...

Precalculus 441 Solving Trigonometric Equations Worksheets ...

Solving Trigonometric Equations BY FACTORING - Quiz Game

Solving Trigonometric Equations BY FACTORING - Quiz Game "Find out LEO"

Infinite Algebra 2 - Worksheet 102 - Solving Trigonometric ...

Infinite Algebra 2 - Worksheet 102 - Solving Trigonometric ...

Solved Pre-Calculus 44 Solving Trigonometric Equations ...

Solved Pre-Calculus 44 Solving Trigonometric Equations ...

PC 12 LG 7 Worksheet (Trig Graphs)

PC 12 LG 7 Worksheet (Trig Graphs)

Trigonometric Equations Worksheet 3 Solutions Q5

Trigonometric Equations Worksheet 3 Solutions Q5

Untitled

Untitled

Solving Trigonometric Equations Worksheets

Solving Trigonometric Equations Worksheets

Trigonometric Equations Lesson Plans & Worksheets

Trigonometric Equations Lesson Plans & Worksheets

Untitled

Untitled

04 - Simple Trig Equations | PDF

04 - Simple Trig Equations | PDF

Trigonometric Equations Worksheet 4 Solutions C2

Trigonometric Equations Worksheet 4 Solutions C2

Exam Questions - Trigonometric identities - ExamSolutions

Exam Questions - Trigonometric identities - ExamSolutions

CBSE Class 11 Maths Trigonometric Equations Worksheet Set A

CBSE Class 11 Maths Trigonometric Equations Worksheet Set A

Solving a Trigonometric Equation

Solving a Trigonometric Equation

0 Response to "38 trig equations worksheet with answers"

Post a Comment

Iklan Atas Artikel

Iklan Tengah Artikel 1

Iklan Tengah Artikel 2

Iklan Bawah Artikel