41 balancing equations worksheet answers key

How to Balance Equations - Printable Worksheets - ThoughtCo Jan 04, 2019 · Balancing an unbalanced equation is mostly a matter of making certain mass and charge are balanced on the reactants and products side of the reaction arrow. This is a collection of printable worksheets to practice balancing equations. The printable worksheets are provided in pdf format with separate answer keys. Balancing Equations Worksheet Answer Key.pdf - | Course Hero CHEMISTRY 1 Balancing Equations Worksheet Answer Key.pdf - Balancing Equations Worksheet Answer Key.pdf - School Grafton High School, Grafton Course Title CHEMISTRY 1 Uploaded By DoctorOxideMonkey328 Pages 1 Ratings 100% (1) This preview shows page 1 out of 1 page. View full document End of preview. Want to read the entire page?

Copy of Gizmos Balancing Chemical Equations 2 - CHEM M01B - MC - StuDocu Time Value of Money Practice Problems and Solutions. VATI TEST. NSTP Module 1- Activities. Logica proposicional ejercicios resueltos. Week 1 short reply - Question 5 If you had to write a paper on the Lincoln assassination, what would you like to know more about? Comm 160 Lesson 3 quiz. 1-4 Week 1 Short Responses.

Balancing equations worksheet answers key

Balancing equations worksheet answers key

Zero factor property calculator - softmath Squaring a fraction, collecting together like terms worksheet, 7th grade tests on balancing chemical equations, advanced.algebra special factoring formulas, review of literature of applications of boolean algebra, permutations and combinations math lesson, sample problems solved with Trigonometry. Balancing Equation Worksheet Answer Key - Tessshebaylo Writing chemical formulas worksheet answer key also worksheets 46 re mendations formula wri chemistry equation balancing equations with answers 20 practice how to balance printab word family free best collections for students volume hd png transpa image pngitem 50 chessmuseum template library everett community college 19 sample in pdf ms solved the chegg com Writing Chemical Formulas Worksheet ... Balancing Equations Worksheet 2 Answer Key - En.AsriPortal.com Download Free Balancing Equations Worksheet Part 2 Answer Key The worksheets are suitable for use by students in the 5th through 8th grades. These two-step word puzzles comprise fractions as well as decimals. Each worksheet contains ten problems. These worksheets can be found both online and in printed.

Balancing equations worksheet answers key. Balancing Equations Answer Key Chemfiesta - Tessshebaylo Balancing equations worksheet chemical worksheets with answers equation race solved 9 cshg 02 co2 chegg com 3 5 a po4 4 nh4no3 13 6 kss6 16 cadajaih hamilton profile easy practice problems w warm up vocab year 11 klzz3vzp2vlg Balancing Equations Worksheet Balancing Equations Balancing Chemical Equations Worksheets With Answers Equation Balancing Equations Race Solved Balancing Equations Race ... 49 Balancing Chemical Equations Worksheets [with Answers] 02.04.2020 · When students often get frustrated, they opt for balancing chemical equations worksheet answers to resolve the problem. If you also find difficulty in balancing the chemical equations, follow the steps below. Step # 1: Write Down the Unbalanced Equation. The first step to balance the equation is to write down the chemical formula of reactants that are listed on the … Balancing Equations Worksheet and Key - Academia.edu Balancing Equations Worksheet and Key 1. Answer the following questions about the chemical equation shown below: 2 H2 + O2 → 2 H2 O a) What are the reactants? b) What is the product? c) What do we call the number "2" in front of the H2 (and H2O)? d) Is the reaction balanced? e) Why is there not a coefficient for O2? . Balancing Chemical Equations Worksheet And Answer Key As this Balancing Chemical Equations Worksheet And Answer Key, it ends going on physical one of the favored books Balancing Chemical Equations Worksheet And Answer Key collections that we have. ... 100 practice problems that are needed before balancing a chemical reaction with answer key. Click the " Buy now " button to take advantage of this ...

Balancing Chemical Equations Worksheet 2 Answer Key Get Free Balancing Chemical Equations Worksheet 2 Answer Key A balancing chemical equation worksheet is a practice booklet with unsolved and solved chemical equation problems on which students can practice their balancing skills. If all the problems are unsolved, it will usually contain an answer … How to Balance Chemical Equations in 5 Easy ... Balancing Equations Worksheet - 3-13 - Anoka-Hennepin School … Writing and Balancing Equations Worksheet STO.1 Balance a chemical equation. STO.2 Identify the parts of a chemical equation. RXN.1 Describe a chemical reaction using words and symbolic equations. For each of the following problems, write complete chemical equations to describe the chemical process taking place. Balance the equations. Balancing Equations Answers to Worksheet.pdf - | Course Hero Balancing Equations Answers to Worksheet.pdf - School Cardinal Leger Secondary School Course Title CHEM SCH3U Uploaded By Lexiaaperez Pages 2 This preview shows page 1 - 2 out of 2 pages. View full document End of preview. Want to read all 2 pages? Upload your study docs or become a Course Hero member to access this document Continue to access Term Balancing Equations Answers Key - tunxis.commnet.edu Balancing Equations Worksheet Answer Key Physical Science If8767 from Balancing Equations Worksheet Answer Key, source:guillermotull.com. Balancing Equations Worksheet 2 Answers Free Worksheets Library from Balancing Equations Worksheet Answer Key, source:comprar-en-internet.net Balancing Equations Worksheet - 3-13 chemical formulas and ...

Chemistry Balancing Equations Worksheet Answer Key Balancing Chemical Equations Worksheet Answers 1 25 Recipes Balancing Chemical Equations Worksheet - Answer Key Balance the equations below: 1) 1 N 2 + 3 H 2 2 NH 3 2) 2 KClO 3 2 KCl + 3 O 2 3) 2 NaCl + 1 F 2 2 NaF + ... Worksheet - Balancing Chemical Equations - A 2 Worksheet Set Description. This 4-page worksheet product (with 2 pages of answer keys) is designed to introduce upper middle school and lower high school chemistry students to the skill of balancing chemical equations. Specifically, this product contains 2 2-page worksheets that each challenge students to balance scaffolded sets of chemical equations. Phet Balancing Chemical Equations Simulation Answer Key Challenge Questions Chapter 8 Balancing Chemical Equations Test Answer Key ... Solution: 1) Balance the Cl (note that 2 x 3 = 3 x 2): 2FeCl 3 + MgO ---> Fe 2 O 3 + 3MgCl 2. The Fe also gets balanced in this step. 2) Pick either the O or the Mg to balance next: 2FeCl 3 + 3M- Chemical Equations Practice Answers/E8PIDB 20 Balancing Chemical Equations Worksheets (+ Answers) A balancing chemical equation worksheet is a practice booklet with unsolved and solved chemical equation problems on which students can practice their balancing skills. If all the problems are unsolved, it will usually contain an answer section that students can use to gauge their performance. Generally, chemical equation worksheets can be provided by schools or …

49 Balancing Chemical Equations Worksheets [with Answers]

49 Balancing Chemical Equations Worksheets [with Answers]

Balancing Equations Worksheet Answer Key - Martin Lindelof Balancing Equations Worksheet Answer Key. Chemistry balancing chemical equations worksheet answer key from briefencounters.ca. Key=answer balancing chemical equations worksheet answer 1 read book balancing chemical equations worksheet answer as recognized, adventure as capably as experience not quite.Notes on kinetics and balancing equations for.

Balancing Chemical Equation | PDF | Hydroxide | Sodium Hydroxide

Balancing Chemical Equation | PDF | Hydroxide | Sodium Hydroxide

Unit 7 Balancing Equations Worksheet 2 Answer Key Get Free Unit 7 Balancing Equations Worksheet 2 Answer Key. The worksheets are suitable for use by students in the 5th through 8th grades. The two-step word problems were created with fractions or decimals. Each worksheet contains ten problems. The worksheets are available on the internet as well as in print.

Balancing Chemical Equations Worksheet | STEM Sheets

Balancing Chemical Equations Worksheet | STEM Sheets

Balancing Equations Worksheets & Answers | Year 3-6 Maths Help your children when they're working hard balancing equations, with the support of this solving addition and subtraction equations and answers worksheet pack.This pack of balancing equations worksheets encourages children to use their addition and subtraction knowledge to balance out equations. Each question gives half of the numbers and students are required to write in the other half of ...

Worksheet 6.2 Word Equations | Balancing equations | PDF4PRO

Worksheet 6.2 Word Equations | Balancing equations | PDF4PRO

Balancing Equations Worksheet Pack (teacher made) - Twinkl Use this pack of balancing equations worksheets that encourage children to use their addition, subtraction and patterns and algebra knowledge to balance out equations. Each question gives half of the numbers and students are required to write in the other half of the numbers that make the equation correct.The worksheets include 20 1-digit questions, 30 2-digit questions …

Balancing Chemical Equations Worksheets Key | Chemistry ...

Balancing Chemical Equations Worksheets Key | Chemistry ...

Balancing Math Equations Worksheets - Worksheets Key Balancing Equations Worksheet Answer Key Engaging Math: Solving Equations Balance Method Card Sort These Free Balancing Math Equations Worksheets exercises will have your kids engaged and entertained while they improve their skills. Click on the image to view or download the image.

Balancing Chemical Equations Conservation of Mass Worksheets ...

Balancing Chemical Equations Conservation of Mass Worksheets ...

Balancing Equations Answers Key Worksheets Balancing Equations Worksheet Dlewis Blog: Notes On Kinetics And Balancing Equations FOR Balancing Equations Worksheet 1 Answer Key These Free Balancing Equations Answers Key Worksheets exercises will have your kids engaged and entertained while they improve their skills. Click on the image to view or download the image. Post navigation

Balancing Equations-1 worksheet

Balancing Equations-1 worksheet

Balancing Chemical Equations Answer Key | Pathways to Chemistry Back to Balancing Chemical Equations Study Guides For Both General Chemistry 1 and 2 Study Guides for General Chemistry 1 1. Matter and Measurement in Chemistry 2. Atoms, Ions, and Molecules 3. Chemical Reactions and Mass 4. Reactions in Aqueous Solution 5. Thermochemistry 6. Electronic Structure of Atoms 7. Periodic Trends and Ionic Compounds 8.

100 Balancing Chemical Equations Worksheets with Answers ...

100 Balancing Chemical Equations Worksheets with Answers ...

Balancing Equations Worksheet About Chemistry Answer Key Balancing Equations Worksheet About Chemistry Answer Key - If you're looking for Chemistry Worksheet Answers, you've come to the right place. In this article, you'll learn more about the branches of chemistry, identifying molecules, chemical reactions, and electroneutrality.

Balancing Equations Worksheets | Free - Distance Learning ...

Balancing Equations Worksheets | Free - Distance Learning ...

PDF Worksheet to teach balancing equations Name - Saint Theresa School Name: ___Answer Key_____ Date: _____ 8 - _____ Type of Equations Determine the reaction type for each of the following equations: ... 8 - _____ Balancing Equations Worksheet III 1. 2 NaCl 2 Na + Cl 2 2. N 2 + 3 H 2 2 NH 3 3. 2 P + 3 Cl 2 2 PCl 3 use covalent bonding 4. HCl + AgNO 3 HNO 3 ...

Balancing Chemical Equations49 Worksheets – TheWorksheets.CoM ...

Balancing Chemical Equations49 Worksheets – TheWorksheets.CoM ...

PDF Balancing Equations: Practice Problems - School Learning Resources Balancing Equations: Practice Problems 1. Balance each of the following equations. (a) Fe+ Cl2 −−→ FeCl3 (b) Fe+ O2 −−→ Fe2O3 ... Balancing Equations: Answers to Practice Problems 1. Balanced equations. (Coefficients equal to one (1) do not need to be shown in your answers).

Balancing Equations Questions and Answers

Balancing Equations Questions and Answers

Transforming formulas calculator - softmath Prentice hall integrated algebra workbook answer key, prentice hall probability worksheet, excel penny a day equation, Solving a differential equation with complex roots, iowa algebra aptitude test for 6 grade, accounting homework solver, roots of complex quadratic equations are in complex.

Chemistry balancing equations worksheet Help please all 19 ...

Chemistry balancing equations worksheet Help please all 19 ...

Counting Atoms Practice Answer Key › Athens Mutual Student Corner Worksheet answer key chemical balancing chemistry answers counting. # of atoms nitrogen 1 chlorine carbon 4 2 hydrogen oxygen 3 2 total 12 2. ... Atoms Counting Practice Equations Balancing. 1) write down the different elements in each compound. Solo practice practice 40 questions show answers question 1 30 seconds q.

Solved Balancing Chemical Equations - Lab 7 Balancing | Chegg.com

Solved Balancing Chemical Equations - Lab 7 Balancing | Chegg.com

Table 2 Balancing Equations Worksheet Answer Key Pdf Worksheet 2 balancing equations ach whitnall high school 1 4 skeleton formula ch pdf free chemical worksheets with answers best collections dimensional ysis equation 20 19 sample in ms word answer key for the balance Worksheet 2 Balancing Equations Ach Whitnall High School 1 4 Worksheet 2 Balancing Skeleton Formula Equations Ch Pdf Free ...

Balance Chemical Equations Worksheet

Balance Chemical Equations Worksheet

Adding and subtracting radical calculator - softmath Solving second order differential equations, examples of math trivia questions with answers, worksheet writing numbers in scientific notation, www. how to solve math problems multiplying and dividing numbers, google college math 208, mcdougal littell biology answers, free downloadable worksheets on subtracting integers.

Balancing Chemical Equations Practice Problems Worksheet (Video) with  Answers

Balancing Chemical Equations Practice Problems Worksheet (Video) with Answers

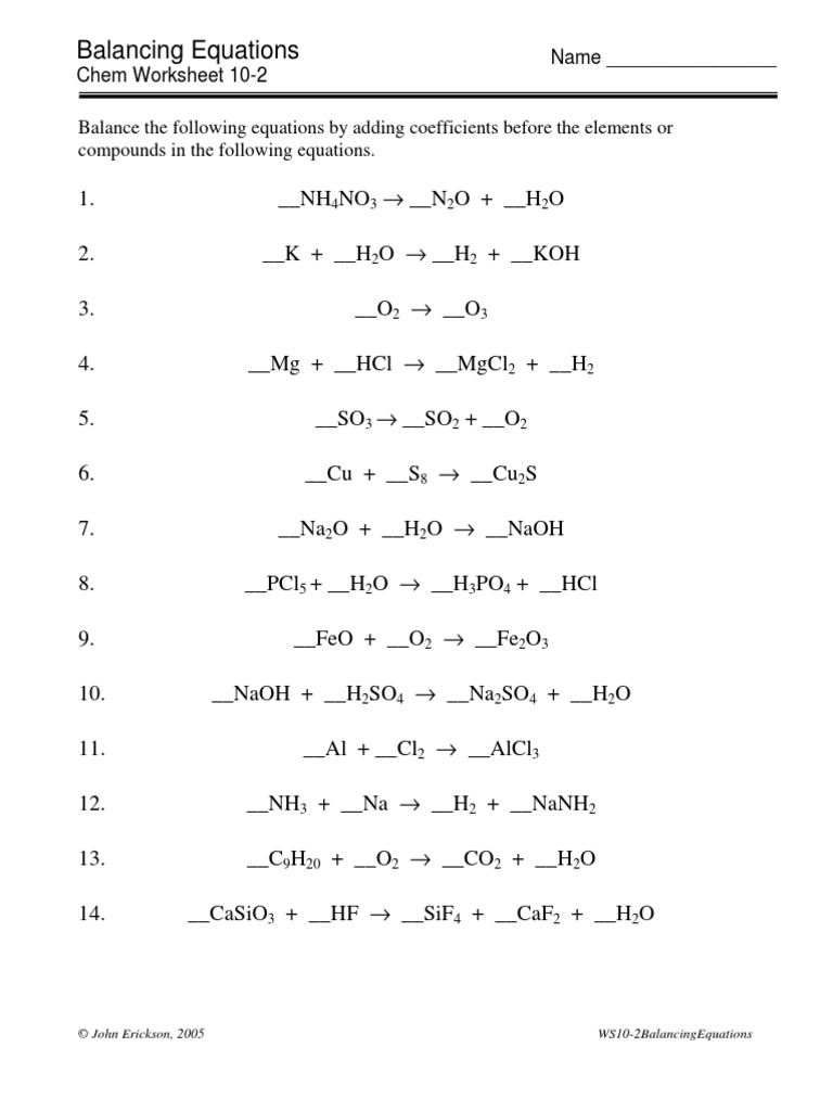
Balancing Equations Chem Worksheet 10-2 Answer Key This Is A Assortment Of Printable Worksheets To Observe Balancing Equations. 2 al 2 o 3 4 al + 3 o 2 4. 3) 2 nacl + 1 f2 → 2 naf + 1 cl2. 92 classifying chemical reactions worksheet reply key. 4 Fe + 3 O 2 2 Fe 2 O 3. 19.07.2021 · al o2 à al2o3. Chemical reactants merchandise equation tells the story of a chemical response.

Balancing Equations - Lessons - Blendspace

Balancing Equations - Lessons - Blendspace

PHSchool.com Retirement–Prentice Hall–Savvas Learning … PHSchool.com was retired due to Adobe’s decision to stop supporting Flash in 2020. Please contact Savvas Learning Company for product support.

Balancing equations worksheet key stage 4 | Teaching Resources

Balancing equations worksheet key stage 4 | Teaching Resources

PDF W 301 Balancing Equations Worksheet - Everett Community College W 301 Everett Community College Tutoring Center Balancing Equations Worksheet . 1) ___ H 3PO 4 + ___ KOH Æ ___ K 3PO 4 + ___ H 2O . 2) ___ K + ___ B 2O 3 Æ ___ K 2O ...

Balancing Equations Practice Worksheet

Balancing Equations Practice Worksheet

Balancing Equations Worksheet Answer Key - appeiros.com 2 Strategies to Stability Chemical Equations—Rationalization and Occasion 2.1 #1: Set up the Merchandise and Reactants 2.2 #: Write the Number of Atoms 2.3 #: Add Coefficients 3 three Good Sources of Balancing Chemical Equations Observe 4 Picture of Balancing Equations Worksheet Reply Key 5 Obtain Balancing Equations Worksheet Reply Key

Balancing Chemical Equations Worksheet Answers PDF Form ...

Balancing Chemical Equations Worksheet Answers PDF Form ...

Balancing Equations Color by Number Answer Key Free Download Balancing Chemical Equations Coloring Worksheet Answer Key These worksheets can be utilized by students between 5th and 8th grades. These two-step word problem are designed using decimals, fractions or fractions. Each worksheet contains ten problems. These worksheets are available both online and in printed.

Balancing chemical equations | Exercises Physics | Docsity

Balancing chemical equations | Exercises Physics | Docsity

Linear equations with fractions calculator - softmath Solve second-order differential equation by rewriting as two first-order, online fractions simplify calculator, critical numbers calculator for square root problem, free download new matrix intermediate "unit 8" test, glencoe math worksheet key, balancing equations maths, binomial theory.

Copy of Gizmos Balancing Chemical Equations 2 - CHEM M01B ...

Copy of Gizmos Balancing Chemical Equations 2 - CHEM M01B ...

Balancing Equations Worksheet 2 Answer Key - En.AsriPortal.com Download Free Balancing Equations Worksheet Part 2 Answer Key The worksheets are suitable for use by students in the 5th through 8th grades. These two-step word puzzles comprise fractions as well as decimals. Each worksheet contains ten problems. These worksheets can be found both online and in printed.

49 Balancing Chemical Equations Worksheets [with Answers]

49 Balancing Chemical Equations Worksheets [with Answers]

Balancing Equation Worksheet Answer Key - Tessshebaylo Writing chemical formulas worksheet answer key also worksheets 46 re mendations formula wri chemistry equation balancing equations with answers 20 practice how to balance printab word family free best collections for students volume hd png transpa image pngitem 50 chessmuseum template library everett community college 19 sample in pdf ms solved the chegg com Writing Chemical Formulas Worksheet ...

Balancing Equations Worksheet by Scott Brady | Teachers Pay ...

Balancing Equations Worksheet by Scott Brady | Teachers Pay ...

Zero factor property calculator - softmath Squaring a fraction, collecting together like terms worksheet, 7th grade tests on balancing chemical equations, advanced.algebra special factoring formulas, review of literature of applications of boolean algebra, permutations and combinations math lesson, sample problems solved with Trigonometry.

Solved Balancing Equations Worksheet 1) 2) 3) 4) 5) 1 Na3PO4 ...

Solved Balancing Equations Worksheet 1) 2) 3) 4) 5) 1 Na3PO4 ...

Untitled

Untitled

SOLUTION: Worksheet balancing equations - Studypool

SOLUTION: Worksheet balancing equations - Studypool

Balancing Equations Questions and Answers

Balancing Equations Questions and Answers

balancing equations-Student.pdf - BALANCING CHEMICAL ...

balancing equations-Student.pdf - BALANCING CHEMICAL ...

Worksheet to teach balancing equations Name Directions: 1 ...

Worksheet to teach balancing equations Name Directions: 1 ...

Balancing Chemical Equations Worksheet 1 (with answers)

Balancing Chemical Equations Worksheet 1 (with answers)

Balancing Chemical Equation worksheet

Balancing Chemical Equation worksheet

es>·Cx>

es>·Cx>

Balancing Chemical Equations Worksheet 1

Balancing Chemical Equations Worksheet 1

49 Balancing Chemical Equations Worksheets [with Answers]

49 Balancing Chemical Equations Worksheets [with Answers]

Physical Science - Balancing Act Worksheet

Physical Science - Balancing Act Worksheet

Balancing equations 2 - Unit 6: Balancing Chemical Equations ...

Balancing equations 2 - Unit 6: Balancing Chemical Equations ...

General Chemistry Worksheets

General Chemistry Worksheets

Balancing Equations 42 PDF | PDF | Unit Processes | Physical ...

Balancing Equations 42 PDF | PDF | Unit Processes | Physical ...

Balancing Equations Worksheet

Balancing Equations Worksheet

49 Balancing Chemical Equations Worksheets [with Answers]

49 Balancing Chemical Equations Worksheets [with Answers]

Free Balancing Chemical Equations Worksheets [With Answers ...

Free Balancing Chemical Equations Worksheets [With Answers ...

0 Response to "41 balancing equations worksheet answers key"

Post a Comment

Iklan Atas Artikel

Iklan Tengah Artikel 1

Iklan Tengah Artikel 2

Iklan Bawah Artikel